In Proceedings of ISMIR

A Formalization of Relative Local Tempo Variations in Collections of Performances

Jeroen Peperkamp, Klaus Hildebrandt, and Cynthia C. S. Liem

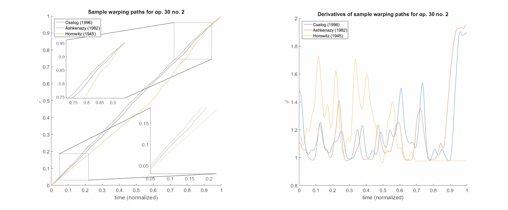
Several reparametrizations ϕ relating professional human performances of Chopin’s Mazurka op. 30 no. 2 to a deadpan MIDI version. Original ϕ with zoomed insets (left) and their derivatives ϕ˙ (right).

Multiple performances of the same piece share similarities, but also show relevant dissimilarities. With regard to the latter, analyzing and quantifying variations in collections of performances is useful to understand how a musical piece is typically performed, how naturally sounding new interpretations could be rendered, or what is peculiar about a particular performance. However, as there is no formal ground truth as to what these variations should look like, it is a challenge to provide and validate analysis methods for this. In this paper, we focus on relative local tempo variations in collections of performances. We propose a way to formally represent relative local tempo variations, as encoded in warping paths of aligned performances, in a vector space. This enables using statistics for analyzing tempo variations in collections of performances. We elaborate the computation and interpretation of the mean variation and the principal modes of variation. To validate our analysis method despite the absence of a ground truth, we present results on artificially generated data, representing several categories of local tempo variations. Finally, we show how our method can be used for analyzing to real-world data and discuss potential applications.


More Information

Citation

Jeroen Peperkamp, Klaus Hildebrandt, and Cynthia C. S. Liem, A Formalization of Relative Local Tempo Variations in Collections of Performances, In Proceedings of ISMIR, pp. 158–164, 2017.

BibTex

@inproceedings{bib:peperkamp:2017,
    author       = { Peperkamp, Jeroen and Hildebrandt, Klaus and Liem, Cynthia C. S. },    
    title        = { A Formalization of Relative Local Tempo Variations in Collections of Performances },
    booktitle    = { In Proceedings of ISMIR },
    year         = { 2017 },
    pages        = { 158--164 },
    dblp         = { conf/ismir/PeperkampHL17 },
    url          = { https://publications.graphics.tudelft.nl/papers/136 },
}