2017

Ben Kybartas and Rafael Bidarra
IEEE Trans Comput Intell AI Games, 2017
Retinal photoreceptor distribution. Image adapted from Goldstein
Martin Weier, Michael Stengel, Thorsten Roth, Piotr Didyk, Elmar Eisemann, et al.
Computer Graphics Forum, 2017
A road network generated using our parametric (upper half) and patch-based (lower half) methods
Edward Teng and Rafael Bidarra
In Proceedings of FDG, 2017
Direct visual comparison of two tensor ensembles
Changgong Zhang, Thomas Höllt, Matthan Caan, Elmar Eisemann, and Anna Vilanova
In Proceedings of Visual Computing in Biology and Medicine, 2017
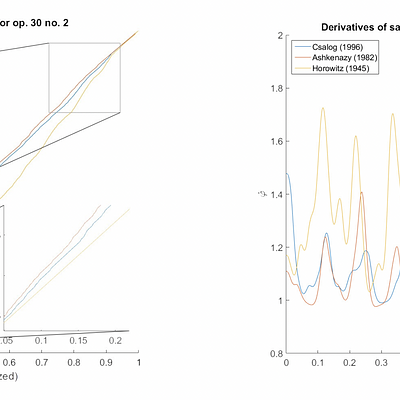
Several reparametrizations ϕ relating professional human performances of Chopin’s Mazurka op. 30 no. 2 to a deadpan MIDI version. Original ϕ with zoomed insets (left) and their derivatives ϕ˙ (right).
Jeroen Peperkamp, Klaus Hildebrandt, and Cynthia C. S. Liem
In Proceedings of ISMIR, 2017
Embeddings of the MNIST dataset using different approximation levels
Nicola Pezzotti, Boudewijn P. F. Lelieveldt, Laurens van der Maaten, Thomas Höllt, Elmar Eisemann, and Anna Vilanova
IEEE Transactions on Visualization and Computer Graphics, 2017
The same pattern of error can be noted on the vase. In general the error is very low, except at the center of some highlight regions.
Daniel Coutinho, Ricardo Marroquim, Matteo Dellepiane, and Roberto Scopigno
Computers & Graphics, 2017
A simple segmentation scheme using our compressed vibration modes applied to the dinosaur (volumetric) and the centaur (surface) mesh
Christopher Brandt and Klaus Hildebrandt
Comput Aided Geom Des, 2017
WorldBuilder. Top images are from the CSA version, inscene person perspective (left) and edit (right). Bottom images are the war version. Left the inscene Person perspective, right birds-eye perspective. Translated from the original Dutch version
Myrthe L. Tielman, Mark A. Neerincx, Rafael Bidarra, Ben Kybartas, and Willem-Paul Brinkman
J Medical Syst, 2017
Anke Redeker, Ester Remmerswaal, Esmé T.I. van der Gracht , Suzanne Welten, Thomas Höllt, et al.
Front Immunol, 2017
Philipp von Radziewsky, Thomas Kroes, Martin Eisemann, and Elmar Eisemann
IEEE Transactions on Visualization and Computer Graphics, 2017
Light Paintings created with our approach. The production only took minutes, design and modifications are performed in real time.
Nestor Z. Salamon, Marcel Lancelle, and Elmar Eisemann
Computer Graphics Forum, 2017
Depth estimation from scribbles. Scribble input (left), only using the scribble input results in a smooth depth map lacking discontinuities (middle), by involving the input image gradients, the depth propagation is improved (right). (Image source: Wikimedia Commons)
Jingtang Liao, Shuheng Shen, and Elmar Eisemann
In Proceedings of Graphics Interface, 2017
Reproduction from the animation Fullmetal Alchemist: Brotherhood. Guidelines are displaced for clarity purposes. Animation follows left to right, top to bottom.
Leonardo Carvalho, Ricardo Marroquim, and Emilio Vital Brazil
Computers & Graphics, 2017
From left to right: three ivory pieces that contain clear signs of degradation, and a 3D model of the last object.
Ricardo Marroquim, Asla Sá, Karina Rodriguez, and Rafael Zamorano
In Proceedings of GCH, 2017
Transition of the various LODs in the virtual Paulinapolder. Green are the regular plant models, red are the billboards, blue is the terrain color map.
Benny Onrust, Rafael Bidarra, Robert Rooseboom, and Johan van de Koppel
Int J Comput Games Technol, 2017
Singularities of a 4-direction field. The fields have been constrained on the same 14 faces (uniformly sampled) for all methods, where the direction is constrained to be the projection of an horizontal vector.
Amir Vaxman, Marcel Campen, Olga Diamanti, David Bommes, Klaus Hildebrandt, et al.
In Proceedings of SIGGRAPH Courses, 2017
 Example of our stylized scattering. Left: physically correct single scattering using the original occluders. The leaves of the tree block most of the light, causing a rather subtle effect. Right: stylized scattering with occluder manipulation. Using our system, an artist can easily add holes into the shadow map of the tree, producing more pronounced scattering effects. While physically incorrect, it is not obvious for the viewer that the right image uses fake occlusion information. Surface shadows are created from the original shadow map.
Timothy R. Kol, Oliver Klehm, Hans-Peter Seidel, and Elmar Eisemann
IEEE Transactions on Visualization and Computer Graphics, 2017
The 95% confidence interval highlighted in green for the t-distribution with 4 degrees of freedom (N = 5, N = 3 and α = 0.05). The left most image shows the two-sided confidence interval, while the middle and right image show the one-sided confidence intervals. The areas highlighted in red fall outside the interval.
Niels de Hoon, Elmar Eisemann, and Anna Vilanova
In Proceedings of EuroRV³@EuroVis, 2017
We compare our method to conventional and gradient-domain path tracing in an equal-time comparison. Gradient-domain path reusing produces visually pleasant images with much less noise than path tracing and significantly lower artifacts than gradient-domain path tracing given the same time.
Pablo Bauszat, Victor Petitjean, and Elmar Eisemann
ACM Transactions on Graphics, 2017